El 15 de agosto se convocó al Plenario de Secretarios Generales de la CONADU Histórica donde, además de ratificar los reclamos y la contrapropuesta salarial realizada, se discutirán las formas, modalidades y medidas de acción gremial para la próxima etapa donde, además de lo salarial, estará la defensa de nuestro convenio colectivo de trabajo y la lucha por su aplicación plena y en todas las universidades nacionales en el contexto de una ofensiva desde el gobierno contra todos los convenios colectivos de trabajo.
Julio Fuentes, Secretario Adjunto del Consejo Directivo Nacional de ATE y Presidente de la Confederación Latinoamericana y del Caribe de Trabajadores Estatales (CLATE), brindó una charla para presentar la Campaña Continental en Defensa del Derecho a la Previsión Social, con el objetivo de concientizar a los trabajadores activos sobre la importancia de la lucha colectiva por un sistema de previsión social estatal y público.
El viernes 4 de agosto, en nuestra sede gremial, se realizó la reunión de Mesa Ejecutiva y Cuerpo de Delegados.
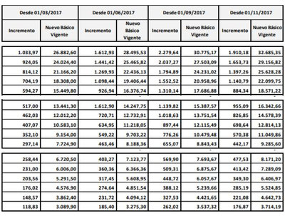
Se dio inicio con la información, dialogo y puesta en conocimiento del acta paritaria y su consecuente grilla salarial, hecho que sucedió en el periodo de receso invernal de nuestra universidad y nuestra provincia.
Compartimos con nuestros afiliados la escala salarial para el 2017 tanto para Universitarios como para compañer@s preuniversitari@s y las Actas Paritarias que CONADU Histórica NO firmó, pero que marca la pauta salarial actual.
En virtud del Plan de Lucha decidido en cada instancia de debate en las Asociaciones de Base y desplegado desde la Federación CONADU Histórica, en el mes de julio, entre otras medidas, se convocó a la “NO toma de exámenes”.
Somos el gremio de los trabajadores de la educación universitaria y nuestra tradición de discusión democrática sobre las diferentes problemáticas sociales propicia que el miércoles 9 de agosto nos demos cita en la FCPyS para debatir, junto a los precandidatos al Congreso de la Nación, sobre la política educativa vigente y la futura.
Recordamos a nuestros afiliados el próximo vencimiento para solicitar el subsidio para eventos científicos del mes de setiembre: 10 de agosto!
El sábado 26 de agosto, de 12 a 15 hs, FADIUNC quiere celebrar, junto a nuestros afiliados, esa dosis de alegría, ternura y esperanza que representan los pequeñitos de la familia. Por eso, bajo la consigna “Por un mundo donde quepan muchos mundos”, queremos enfatizar el compromiso por presentes y futuros donde TOD@s tengan un lugar y una oportunidad.
En la reunión plenaria del 5 de julio, el Consejo Superior, por ord.64/17, aprueba la incorporación al Directorio de DAMSU de un representante titular y uno suplente por los Jubilados. Celebramos tal decisión, fruto de una lucha de años por parte de FADIUNC y que hoy cuenta con las acciones comprometidas de nuestro Centro de Jubilados “Prof. Emilio Puebla”.
La CTA-A exigirá en el Congreso la aparición con vida de Santiago Maldonado, quien fuera golpeado y detenido el martes al mediodía por un grupo de gendarmería en la comunidad mapuche Cushamen.
